SECTION A
1. If a * b=
, evaluate 
2. Make c the subject from the expression: a = b - ![]()
3. The point R( 10, 7) is reflected in the line y = x to give point S. given that M is the mid point of RS, find the co-ordinates of M.
4. Find the area of a triangle whose sides are 13 cm, 24 cm and 13cm.
5. Given the sets:
A = {all natural numbers less than 30}
B = {all prime numbers between 10 and 30}
Find:
a) n(A∩B')
b) n(A'∩B)
Where B' stands for the complement of the set B.
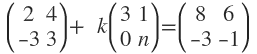
6. If
, find the values of k and n.
7. Use the prime factor method to find the cube root of 3375.
8. In a revenue authority department, the tax earned income is calculated as follows:
The first shs120,000 is tax free and the remaining income is taxed at 25%. Find the tax payable on an earned income of:
a) Shs100,000
b) Shs440,000
SECTION B
Answer any five questions from this section. All questions carry equal marks.
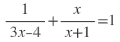
9. a) Given that
, solve for x.
b) Solve the simultaneous equations x2 + 4y2 = 4
y = x - 1
10. Using a pencil, a ruler and a pair of compasses only, construct a triangle ABC in which
=9.2cm, angle CAB = 450 and angle ABC = 750.
a) Measure the length of ![]()
b) Draw a circumscribing circle through the points A, B and C.
c) Measure the radius of the circle.
11. a) in the figure below, vectors OA = a and OC = c,
=1/3
and
= 3![]()
FIGURE
(i) by expressing vectors in terms of a and c, find OD, AB and OB
(ii) Show that points O, D and B are collinear.
b) Points A and B have co-ordinates (0, -1) and (-6, 7) respectively.
Find:
(i) AB,
(ii) The magnitude of AB
12. In a certain school, a sample of 100 students was picked randomly. In this sample, it was found out that 78 students play Netball (N), 82 play volley ball (V) 53 play tennis (T) and 2 do not play any of the three games. All those that play Tennis also play volleyball. 48 play all the three games.
a) Represent the given information on a Venn diagram.
b) How many students play both netball and volleyball but not tennis?
c) If a student is picked at random from sample, what is the probability that the student plays two games only?
13. a) Draw a table showing the values of sin 2θ for 00≤θ≤900, using values of θ at intervals of 150.
b)use the table in (a) above, a horizontal scale of 2cm for 150 and a vertical scale of 2cm for 0.5 units to draw a graph of sin 2 θ,
c) From the graph, find the values of θ for which sin 2 θ = 0.6.
14. A manager of an industry earns a gross salary of shs2,000,000 per month, which includes an allowances of shs500,000 tax free. The rest of her income is subjected to an income tax which is calculated as follows:
7.5% on the first shs800,000
12.5% on the next shs500,000
20% on the next shs100,000
30% on the next shs60,000
35% on the remainder.
a) Find her taxable income
b) Calculate her monthly income tax
c) Express her monthly tax as a percentage of monthly gross salary.
15. A school constructed an office which required 34 tones of sand the school hired a lorry and a tipper truck with capacities of 7 tones and 5 tones respectively to transport the sand. The cost per trip either by lorry or by tipper truck was shs30, 000. The money available for transportation was shs180, 000. The trips made by the lorry did not exceed those made by the tipper truck.
a) If x and y represent the number of trips made by the lorry and the tipper truck respectively;
(i) Write down five inequalities to represent the given information.
(ii) Plot these inequalities on the same axes, shading the unwanted regions.
b) (i) From your graph in (a)(ii) above, list all the possible numbers of trips, that each vehicle can make so as to maximize the total tonnage of sand transported.
(ii) Find the number of trips by each vehicle that made the greatest total tonnage.
16. The figure below shows a cuboid ABCDEFGH in which BC = 8cm. BF = 6 and CD = 5cm. K is the mid point of AB.
CUBOID
Find the:
a) (i) length AG
(ii) Angle which AG makes with the plane ABCD.
b) Angle between planes KGH and FGHE.
