SECTION A
1. Express
as an improper fraction in its simplest form.
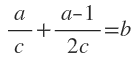
2. If a = 14, b = 8 and
, find the value of c.
3. A line is given by the equation 45- 15x + 3y = 0. Find the co-ordinates of its x - intercept.
4. Given that f(x) = 2x + 4 and g(x) = x + 5, find fg(x). Hence evaluates fg(4).
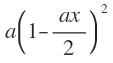
5. Expand the expression; 
6. A butcher sells 5kg of meat at shs10, 000, if the cost of meat is increased by 20%, find the weight of meat which can be bought at shs3, 600.
7. The data given below represents the ages in years of 30 senior four students of a certain school:
| Age class | 15 - 17 | 19 - 20 | 21 - 23 | 24 - 26 |
| Number of students | 7 | 11 | 9 | 3 |
Use the table above to draw a histogram and state the modal class.
8. Triangle ABC with vertices A (0, 0), B (1, 0) and C (1, 1) underwent two transformations represented by T2T1. If T1 is a translation represented by
and T2 is a reflection in the x - axis, find the co-ordinates of the final image of the triangle.
9. Given A =
and B =
, evaluate (A +B)2
10. Study the diagram below:
TRIANGLE
If AD = 12cm. find the area of the shaded region.
11. Given that V is inversely proportional to t2 and V= 25 when t = 2, find V when t = 5.
12. The figure below shows a net of a cone which can be folded to form a right circular cone.
FIGURE
Calculate the radius of the cone formed.
SECTION B
Answer any five questions from this section. All questions carry equal marks.
13. a) Given that 212n = 25nine, find the base that n represents.
b) A positive integer r is such that pr2 = 168, where p is such that 3 ≤ p ≤ 5. Find the integral values of r.
14. a) Find the length marked x in the diagram below correct to two significant figures.
FIGURE
b) A dog tied by a silk rope 4.5 m long is tethered to a tree stamp 2.5 from a straight path. For what distance along the path is one in danger of being of being bitten by the dog?
15. By shading the unwanted regions, show the region which satisfies the inequalities:
X + y ≤ 3
Y > x - 4
Y + 7x ≥ - 4
Find the area of the wanted region.
16. The table below shows the weight in kilograms of 28 children sampled in a primary school:
Weight (kg) number of children
15 - 19 2
20 - 24 4
25 - 29 7
30 - 34 3
35 - 39 5
40 - 44 6
45 - 49 1
a) State the modal class.
b) Calculate the cumulative frequency and
(i) Hence, estimate the median weight correct to one decimal place,
(ii) Calculate the mean weight of the children,
(iii) Find the probability that a child selected at random from the school weighs 40kg and above.
17. Musa is a businessman who deals in an agricultural produce business, he visited four markets in a certain week:
In market A he bought 3 bags of beans, 5 bags of maize, 10 bags of potatoes and 3 bags of millet,
In market B, he bought 1 bag of beans, 4 bags of potatoes and 2 bags of millet,
In market C he bought 5 bags of beans, 1 bag of maize,
In market D he bought 4 bags of beans, 3 bags of maize, 6 bags of potatoes and 1 bag of millet.
He bought each bag of beans at shs45, 000, a bag of maize at shs30,000, a bag of potatoes at shs15,000 and a bag of millet at shs50,000. He later sold all the produce he had bought at shs50,000 per bag of beans; shs35,000 per bag of maize, shs18,000 per bag of potatoes and shs55,000 per bag of millet.
a) Form a 4x4 matrix to show the produce musa bought from the four markets.
b) (i)form a cost matrix for the price of the produce,
(ii) By matrix multiplication, find the amount of money spent on the produce in each market.
c) Find also the amount of money he got from the sale of the produce
d) Find Musa's profit.
18. Town A is 170km from town B. a Tata lorry left town B for town A at 8.25 am. And travelled at a steady speed of 40 kmh-1. A saloon car left town A for town B at 8.25am and travelled at a steady of 80kmh-1.
a) Calculate the:
(i) Distance from town A to the point at which the two vehicles met.
(ii) Time at which the two vehicles met.
b) Just as they met, the Tata lorry driver increased the speed by 10kmh-1. Find the difference in their times of arrival at their destinations.
19. The figure QRSTUV below is a plan of Mr. Rukidi's farm. The area marked A is in form of an equilateral triangle, area B is rectangular and C is a semi circle.
=14cm and
=100m.
FIGURE
Find the:
a) Length
which divides the farm into two equal parts,
b) Area of the farm,
c) Length of barbed wire required to fence Rukidi's farm.
