SECTION A
1. Find the lowest common multiple (LCM) and the highest common factor (HCF) of 54 and 84.
2. The pie chart below represents yields of beans from three fields A, B and C.
PIE
If the total yield of beans was 300 sacks, calculate the number of sacks got from field C.
3. Express 2log 3 18 + log3 3-1 -log3 62 + 1 as a single logarithm log3 Q.
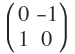
4. Given that P =
, find a matrix P-1 such that PP-1 = I where I is the identity matrix of order 2.
5. Study the graph below:
GRAPH
Find the inequality representing the shaded region.
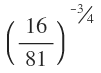
6. Evaluate: 
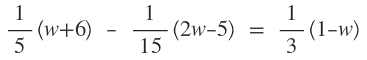
7. Solve for w: ![]()
8. Given that f(x) = 2x - 5, find:
a) F(-2)
b) F-1(x)
9. In triangle BCD, AD = 15cm, BD = 25cm, AB = AC and AB is perpendicular to CD.
TRIANGLE
Find the length of CB correct to one decimal place.
10. In the diagram below, O is the centre of the circle and angle BOD = 1640
CIRCLE
Find:
a) Angle BAD,
b) Angle BCD.
SECTION B
Answer any five questions from this section. All questions carry equal marks.
11. a) The points (-1, 9) and (r, 2) lie on the line y = 2 - x. find the values of q and r.
b) In the figure below, P is 4 units from O. the equation of the line MN is 4y + x = 12.
FIGURE
Find the area of OPMN.
12. a) Adikini bought a television set for which the cash price was shs 599,000. She bought the television set on a hire purchase scheme and had to pay an extra shs71, 000. If she made eight equal monthly installments, how much did she pay per month?
b) Mukasa wants to buy a house which is priced at shs56, 000,000. A deposit of 25% of the value of the house is required. A bank will lend him the rest of the money at a compound interest of 15% per annum and payable after two years.
Calculate the:
(i) Deposit Mukasa must make.
(ii) Amount of money Mukasa will have to pay the bank after two years.
(iii) Total money which Mukasa will spend to buy the house.
13. A club held swimming tests in Crawl (C), Backstroke (B) and Diving (D) for 72 members. Those who passed crawl were 49, 30 passed backstroke and 30 passed diving. 5 passed crawl and backstroke but not diving, 4 passed backstroke and diving but not crawl. 6 passed crawl and diving but not backstroke. 14 passed all the three tests.
a) Draw a Venn diagram to represent the given information.
b) Use the Venn diagram to find the number of members who:
(i) Passed the crawl test only.
(ii) Did not pass any test.
c) If a member is picked at random, what is the probability that the member passed two tests only?
14. Given that the point A has co-ordinates (-8, 6), vector AB =
and M is the mid point of AB;
a) Find the:
(i) Column vector AM.
(ii) Co-ordinates of M.
(iii) Magnitude of OM.
b) (i) Draw the vector AB on a graph paper.
(ii) From your graph, state the co-ordinates of B.
15. a) A unit square whose vertices are O(0, 0), I (1, 0), j(0, 1) and k(1, 1) is transformed by rotating through a positive quarter turn about the origin. Find the matrix for this transformation.
b) Give T =
and M =
, find the:
(i) Image of the points A (0, 3) and B (5, 3) under the transformation TM.
(ii) Matrix of transformation which will map the images of A and B back to their original positions.
16. a) copy and complete the table below for the equation y = 2x2 - 3x - 7,
| x | -11/2 | -1 | -1/2 | 0 | 1/2 | 1 | 11/2 | 2 | 21/2 | 3 |
| 2x2 | 2 | 0 | ||||||||
| -3x | 3 | 0 | ||||||||
| -7 | -7 | -7 | ||||||||
| y | -2 | -7 |
b)plot the points (x, y) obtained from the completed table on a graph paper using 2 cm to represent 1 unit on the x - axis and 1 cm to represent 1 unit on the y - axis.
Hence draw a graph for y = 2x2 - 3x - 7.
c) Use your graph to solve the equation: 2x2 - 3x - 8 = 0.
17. a) The dimensions of a rectangle are 60 cm by 45 cm. if the length and width are each reduced by 10%, calculate the percentage decrease in area.
b) A container has a volume of 6400 cm3 and a surface area of 8000 cm2. Find the surface area of a similar container which has a volume of 2700cm3.
