SECTION A
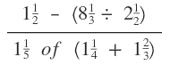
1. simplify: 
2. Factorize completely: 2p2q3 - pq3 + pq - 2p2q.
3. Simplify.
Give your answer in standard form.
4. Given the vectors QR =
, ST =
and SR =
, find the vector QT.
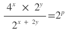
5. If
, express p in terms of x and y.
6. Given that D = {All odd numbers less than 20} and M = {All multiplies of three less than 20}, find n(D∩M).
7. Find the equation of the line of gradient -3/5 and passing through the point (3, 4).
8. A farm is on a piece of land whose area is 5.6km2. What would be the area of this farm in cm2 on a map whose scale is 1:40,000?
9. A forex bureau buys one US dollar at UG.shs1, 900 and sells one pound sterling at ug.shs3, 450. Atim wants to exchange 3,000 US dollars to pound sterlings. How many pound sterlings will she get?
10. Two points A (5, 1) and B (6, 0) are given a transformation defined by the matrix
. Find the co-ordinates of their images.
SECTION B
Answer any five questions from this section. All questions carry equal marks.
11. a) A man gave half of his welfare allowance to his wife. 1/5 to each of his two sons and the rest to his daughter.
Find:
(i) The fraction given to the daughter.
(ii) His welfare allowances if each son was given shs16, 000.
b)The difference between the values of y when x = 6 and when x = 10 is 16. Given that y is inversely proportional to the square of x, find the equation relating x and y.
12. The table below shows the weights in kilogrammes of thirty pupils.
| 48 | 44 | 33 | 52 | 54 | 44 |
| 53 | 38 | 37 | 35 | 53 | 46 |
| 59 | 51 | 32 | 37 | 49 | 42 |
| 48 | 59 | 52 | 40 | 54 | 46 |
| 45 | 62 | 35 | 54 | 48 | 35 |
a) Construct a frequency table with a class width of 5 starting from the class of 30-34.
b) Use your table in (a) to:
(i) Estimate the mean weight of the pupils.
(ii) Draw a histogram and use it to estimate the modal weight of the pupils.
13. Four students; Kale, Linda, Musa and Nana went to a stationery shop.
Kale bought 4 pens, 6 counter books and 1 graph book.
Linda bought 10 pens and 5 counter books.
Musa bought 3 pens and 3 graph books.
Nana bought 5 pens, 2 counter books and 8 graph books.
The costs of a pen, a counter book and a graph book were shs400.
Shs1,200 and shs1,000 respectively.
a) (i) Write a 4x3 matrix for the items bought by the four students.
(ii) Write a 3x1 matrix for the costs of each item.
b) Use the matrices in (a) to calculate the amount of money spent by each student.
c) If each student was to buy 4 pens, 10 counter books and 6 graph books, how much money would be spent by all the four students?
14. a) The lines ax + 2y = 3 and ax - by = 5 intersect at (1, 2). Find a and b.
b) If
, determine the values of x and y.
15. In the figure below, QXRYP is a semi circle with centre O and radius 10 cm. MN is parallel to the diameter QP. Angle XOQ = 400.
SEMI CIRCLE
Find the
a) length of:
(i) the are XRY.
(ii) MQ
(iii) MX
b) Perimeter of the given figure.
16. In the figure below, ABCDH is a right pyramid on a square base 4BC of side 5m. Each of the slanting edges is 5m.
SQUARE BASE
Calculate the:
a) Height of the pyramid, correct to two decimal places.
b) Angle between the plane HBC and the base.
c) Volume of the pyramid, correct to one decimal place.
