SECTION A
1. Express 0.341666... in the form p/q, where q ≠0.
2. Solve for x in 323/5 ÷ x1/2 = 2.
3. Given two points P (4, 5) and Q (-2, 9), find the equation of the line through P and q.
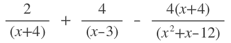
4. Simplify
. Give your answer in the form
where a and b are constants.
5. A rectangle 6cm long and 5cm wide is enlarged so that its area becomes 270cm2. Find the linear scale factor of the enlargement.
6. In the figure below, O is the centre of the circle, angle JKQ = 400 and KOQ is a straight line.
CIRCLE
Find the angles marked n and p.
7. Given that a =
, b =
and m = a + 2b, find the magnitude of m.
8. If n = x
, express m in terms of n and x.
9. A function f(x) =
. Find the values of x for which f(x) = 4.
10. Three girls, Auma, Assimwe and Nakato shared shs10, 500. Nakato got twice as much as Assimwe and Assimwe got twice as much as Auma. Find how much money Assimwe got.
SECTION B
Answer any five questions from this section. All questions carry equal marks.
11. A speed boat sets off from an island M on a bearing of 0800 to an island X at an average speed of 150kmh-1, island X is 450 km from island M. at X it alters its course to a bearing of 2000 and maintains the average speed of 150kmh-1 for 3 hours until it reaches island Y. it then moves to island P is 400 km from island M.
a) Using a scale of 1 cm to represent 50 km, construct a scale drawing to show the route of the speed boat.
b) Use the scale drawing in (a) to find the distance PY.
c) Calculate the
(i) Total time taken for the speed boat to move from M to P.
(ii) Speed boat's average speed for the whole journey.
12. The Venn diagram below shows the members of a district council who sit on three different committees of works (W), production (P) and Finance (F).
VENN DIAGRAM
a) Determine the value of x, y and z.
b) Find the total number of members who
(i) Make up the district council.
(ii) Belong to more than one committee.
c) Given that a member is selected at random from the district council, find the probability that the member belongs to only two committees.
13. a) express
in the form ![]()
b) A mini bus travels from migyera to Kampala, a distance of 156km, at a certain average speed of Vkm/hr. on the return journey, it increases the average speed by 4 km/hr and takes 15minutes less. Find the average speed V from Migyera to Kampala.
14. The table below shows time (t) in seconds and velocity (V) in m/s of an object.
| t(s) | 0 | 1 | 2 | 3 | 4 | 5 | 6 |
| V(m/s) | 0.0 | 1.0 | 1.7 | 2.0 | 1.7 | 1.0 | 0.0 |
a) Using a scale of 2cm to represent one second on the horizontal axis and 4cm to represent 0.5 m/s on the vertical axis, plot the values of t and V and join the points with a smooth curve.
b) Use your graph in (a), to find the
(i) Times at which the speed of the object is 0.8 m/s.
(ii) Acceleration of the object when the time is 2 seconds.
c) If the total distance covered by the object was 7.5m, what was its average speed?
15. a) without using mathematical tables or a calculator, find the value of
2 log 10 50 + log 10 80 - log 10 2.
b) (i) find the prime factors of 150.
(ii) Using your result in (i), find log 10150, given that
Log 10 5 = 0.6990, log 10 3 = 0.4771 and log 10 2 = 0.3010.
16. a) solve the following simultaneous equations using the matrix method
5x + 2y = 5,
3x - 0.2y = 10.
b) Given that P=
, Q=
and R =
;
Find:
(i) QR - P,
(ii) The determinant of QR - P.
17. Mr. Oketcho's monthly gross salary is shs900,000 which includes the following allowances:
Shs
Water and electricity 20,000
Relief and insurance 30,000
Housing allowances 50,000
Medical allowance 25,000
Transport allowance 28,000
Marriage allowance 20,000
Family allowance
(for only 4 children):
- From 0 to 9 years 20,000 per child
- Between 9 and 16 years 15,000 per child
- Over 16 years 10,000 per child
Mr. Oketcho has five children; two of whom are aged between 0 and 9 years, one aged 14 years and the other two are over 16 years.
The income tax structure is shown in the table below:
| Taxable income per month in shillings. | Tax rate % |
| 01 - 50,000 50,001 - 110,000 110,001 - 200,000 200,001 - 350,000 350,001 - 600,000 Above 600,000 |
10.0 20.0 24.5 35.0 40.0 49.0 |
a) Calculate Mr. Oketcho's
(i) taxable income
(ii) Income tax
b) Express the income tax as a percentage of his monthly gross salary.
