1. Given that 2x2 + 7x -4, x2 +3x – 4 and 7x2 + ax – 8 have common factor find the:
a) factors of 2x2 + 7x -4 and x2 +3x – 4
b) value of a in 7x2 + ax – 8
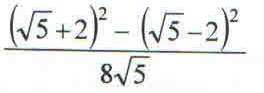
2. Without using mathematical tables or a calculator, find the value of

3. Find the angle between the lines 2x – y =3 and 11x + 2y = 13.
4. Evaluate

5. Solve the equation
given that y = 1 when x = 0.
6. Solve the equation sin 2ɵ + cos2ɵ cos4ɵ = cos4ɵ cos6ɵfor
0≤ ɵ≤ 
7. Using small changes, show that

8. Three points A(2, -1, 0), B (-2, 5, -4) and C are on a straight line such that 3AB = 2AC. Find the coordinates of C.
9. a) If

find |Z1 –Z2|
b) Given the complex number Z = x + iy;
i) find 
ii)show that the locus of
is a straight line when its imaginary part is zero. State the gradient of the line.
10. a) Solve the equation cos2x = 4 cos2x -2 sin2 x for 0x 1800.
b) Show that if sin(x + a) = P sin (x-a) then

hence solve the equation sin (x+200)= 2 sin (x - 200) for 00x 1800.
11. Given that

12. a) Line A is the intersection of two planes whose equations are
3x – y + Z = 2 and x + 5y + 2 Z = 6.
Find the Cartesian equation of the line.
b) Given that line B is perpendicular to the plane 3x – y + Z = 2 and passes through the point C (1,1,0), find the:
i) Cartesian equation of line B
ii) angle between line B and line A in (a) above.
13. a) Find

b) The gradient of the tangent at any point on a curve is

The curve passes through the point (2,4). Find the equation of the curve.
14. a) The point P(at21, 2 at1,) and Q (at 22, 2 at 2) are on the parabola y2 = 4ax. OP is perpendicular to OQ, where O is the origin. Show that t1t2 + 4 = 0.
b) The normal to the rectangular hyperbola xy = 8 at a point (4,2) meets the asymptotes at M and N. Find the length of MN.
15. a) Prove by induction

for all integral values of n.
b) A man deposits Shs 150,000 at the beginning of every year in a micro –finance bank with the understanding that at the end of seven years he is paid back his money with 5% per annum compound interest. How much does he receive?
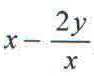
16. a) If x2 + 3y2 = k, where k is a constant, find
at the point (1,2).
b) A rectangular field of area 7200m2 is to be fenced using a wire mesh. On one side of the field, is a straight river. This side of the field is not of amount of wire mesh to be used.
END.
