PAPER 1
SECTION A
Answer all questions from this section.
1. (a) Explain the term molar enthalpy of solution.
……………………………………………………………………………………………………………………………………………………………………………………………………
(b)Draw a diagram to show the energy changes that take place when a salt, MX is dissolved in water.
2. Chlorine can be manufactured by electrolysis of saturated sodium chloride solution.
(a) Name (i) the cathode………………………………………………………………
(ii) the anode………………………………………………………………..
(b)Write an equation for the reaction that takes place at the anode.
(c)Write an equation for the reaction between chlorine and dilute sodium hydroxide at room temperature.
……………………………………………………………………………………………………………………………………………………………………………………………………
(ii)State what would happen if the resultant mixture (i) is heated.
……………………………………………………………………………………………………………………………………………………………………………………………………
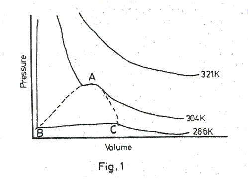
3. (a)The diagram in figure1 shows isotherms of a gas.

(i)What is the critical temperature of the gas?
………………………………………………………………………………………………………………………………………………………………………………………………
(ii)Which isotherm almost represents the behaviour of an ideal gas?
………………………………………………………………………………………………………………………………………………………………………………………………
(iii)What does the region ABC represent?
………………………………………………………………………………………………………………………………………………………………………………………………
(b) State one condition necessary for liquefying a gas.
……………………………………………………………………………………………………………………………………………………………………………………………………
4 .(a)Write equation(s) and state the conditions for the reaction between sodium dichromate and
(i) propan-2-ol.
………………………………………………………………………………………………………………………………………………………………………………………………
(ii) phenyl methanol.
………………………………………………………………………………………………………………………………………………………………………………………………
(b) Name one reagent that can be used to differentiate between propan-2-ol and phenyl methanol.
………………………………………………………………………………………………………………………………………………………………………………………………
5. (a)Write an expression to show the relationship between acid dissociation constant, ka, and the degree of dissociation, α, of a weak acid.
………………………………………………………………………………………………………………………………………………………………………………………………
(b) Calculate the Ka value for 0.1M and state its units.
(Ʌ0.1=0.00052Ω-1m2mol-1, Ʌ∞=0.039Ω-1m2mol-1)
………………………………………………………………………………………………………………………………………………………………………………………………
6.The table below shows the tests carried out on a solution of substance Z and the observations that were made
|
Test |
Observations |
|
I to a solution of Z was added dilute sodium hydroxide solution drop wise until in excess |
Green precipitate insoluble in excess alkali |
|
II To a solution of Z was added aqueous ammonia drop wise until in excess |
Green precipitate dissolves in excess ammonia to form solution |
|
III To a solution of Z was added dilute nitric acid followed by silver nitrate solution then ammonia solution drop wise until in excess |
White precipitate dissolves in excess ammonia to form a colourless solution |
(a) Identify
(i) the cation in Z…………………………………………………
(ii) the anion in Z………………………………………………….
(b)Write an ionic equation for the reaction leading to the formation of the white precipitate.
………………………………………………………………………………………………………………………………………………………………………………………………
(c)Write the formula of the final product in test II.
………………………………………………………………………………………………………………………………………………………………………………………………
(d)Name one reagent that can be used to confirm the presence of the cation in Z and state what would be observed if a solution of Z is reacted with the reagent.
………………………………………………………………………………………………………………………………………………………………………………………………
7. 1.18g of a compound P on vaporisation occupied 300cm3 at s.t.p.
(a) Calculate the relative molecular mass of P.
………………………………………………………………………………………………………………………………………………………………………………………………
(b) The empirical formula of P is C2H4O determine the molecular formula.
………………………………………………………………………………………………………………………………………………………………………………………………
(c) Compound P reacts with sodium carbonate to produce a gas that turns lime water milky. Write the structural formula of P.
………………………………………………………………………………………………………………………………………………………………………………………………
8. Complete the following equations and write a mechanism for each of the reactions.
![]()
………………………………………………………………………………………………………………………………………………………………………………………………

………………………………………………………………………………………………………………………………………………………………………………………………
9. State what would be observed and write an ionic equation for the reaction that takes place when
(a) aqueous copper(II)sulphate is added to a solution of potassium iodide
………………………………………………………………………………………………………………………………………………………………………………………………
(b) Dilute sulphuric acid added to a solution of sodium chromate followed by aqueous sodium hydroxide
………………………………………………………………………………………………………………………………………………………………………………………………
SECTION B
Answer six questions from this apart
10.(a) Consider the following reaction scheme

(i)Identify substance
w………………………………………………………………………………….
x……………………………………………………………………………………..
(ii)Name reagents
y……………………………………………………………………………………
z………………………………………………………………………………………
(iii) State the condition for the reaction between amino benzene and z
………………………………………………………………………………………………………………………………………………………………………………
(iv) Write a mechanism for the reaction leading to the formation of nitrobenzene
………………………………………………………………………………………………………………………………………………………………………………
(b) Benzene diazonium salt was reacted with phenol in the presence of sodium hydroxide
(i) State what was observed
………………………………………………………………………………………………………………………………………………………………………………
(ii)Write the structural formula of the product
………………………………………………………………………………………………………………………………………………………………………………
11. Name one reagent that can be used to distinguish between the following pairs of ions
In each case state what would be observed if each of the ions is treated with the reagent you have named.
(a)Fe3+(aq) and Cr3+(aq)
……………………………………………………………………………………………………………………………………………………………………………………………………
(b)Al3+(aq) and Zn2+(aq)
……………………………………………………………………………………………………………………………………………………………………………………………………

………………………………………………………………………………………………………………………………………………………………………………………………
12. The table below shows the kinetic data for the decomposition of a compound Y.
|
Time (min) |
Concentration of Y (mol dm-3)x 10-4 |
|
0.0 18.0 30.0 54.0 80.0 120.0 |
2.90 2.30 2.00 1.60 1.30 1.00 |
(a)Plot a graph of concentration of Y against time

(b) Determine the rate of reaction at 100 minutes
………………………………………………………………………………………………………………………………………………………………………………………………
(c) Show how the rate at 10 minutes compares with that at 100 minutes
Explain your answer
………………………………………………………………………………………………………………………………………………………………………………………………
13.(a)Manganese sulphide reacts with acids according to the following equation
MnS(s) + 2H3O+(aq) ⇄ Mn2+(aq) + 2H2O(l) + H2S(aq)
State giving a reason what would happen to the equilibrium if
(i) water is added to the equilibrium mixture.
………………………………………………………………………………………………………………………………………………………………………………
(ii) Hydrogen chloride is bubbled into the equilibrium mixture.
………………………………………………………………………………………………………………………………………………………………………………
(iii) The pH of the equilibrium mixture is increased.
………………………………………………………………………………………………………………………………………………………………………………
(b)Hydrogen reacts with iodine according to the following equation
H2(g) + I2(g) ⇄ 2HI(g)
A mixture of 0.8 mole of hydrogen and 0.6 mole iodine was allowed to react in a sealed tube at 4500C.At equilibrium 0.2 mole of iodine had reacted
(i)Write the expression for the equilibrium constant KC for the reaction.
………………………………………………………………………………………………………………………………………………………………………………
(ii) Calculate the value of KC at 4500C.
………………………………………………………………………………………………………………………………………………………………………………
14. Write equations to show each of the following convertions can be affected
Indicate the reagents and conditions for the reaction in each case
(a) CH3CHO to CH3COOCH2CH3
………………………………………………………………………………………………………………………………………………………………………………………………


15. The figure 2 shows the variation of the first ionisation energies of the elements in the first row of the periodic table.

Explain the following observations
(i)There is a general increase in the first ionisation energy from lithium to neon
………………………………………………………………………………………………………………………………………………………………………………………………
(ii)The first ionisation energy for beryllium is higher than that of boron
………………………………………………………………………………………………………………………………………………………………………………………………
(iii)The first ionisation energy of oxygen is lower than that of nitrogen
………………………………………………………………………………………………………………………………………………………………………………………………
16. (a) State Rault`s law
………………………………………………………………………………………………………………………………………………………………………………………………
(b)The boiling point composition diagram of a mixture of water and substance X(which is miscible with water) is given below

(i) State how the mixture deviates from Rault`s law
………………………………………………………………………………………………………………………………………………………………………………
(ii) Explain how pure X can be obtained from a mixture containing 50% of water
………………………………………………………………………………………………………………………………………………………………………………
(iii) What name is given to the mixture containing 36% of X
………………………………………………………………………………………………………………………………………………………………………………
(iv) Name one substance that would behave in a different way from X
………………………………………………………………………………………………………………………………………………………………………………
17 (a) Distinguish between addition and condensation polymerisation.
………………………………………………………………………………………………………………………………………………………………………………………………
(b) The structural formulae of polymers P,Q and R are shown below

In the table below write the structural formula of the monomer(s) in each case and name the type of polymerisation that leads to the formation of each polymer.
|
|
Structural formula of monomer |
Type of |
|
P |
|
|
|
Q |
|
|
|
R |
|
|
(c)Give one use of Q and one use of R
……………………………………………………………………………………………………………………………………………………………………………………………………

1. 1-indicate Atomic mass
2. H.o indicate relative atomic mass
PAPER 2
SECTION A
Answer five questions including three questions from section A and any two from section B.
1. (a)Explain the variations in the electropositivity of the following elements
(i) C, Ge and Sn
(ii) Mg, Al, P and Cl2
(b)State the common oxidation states of chromium and lead.
(c) Discuss the similarities in the chemistry of chromium and lead
Your answer should include.
(i) reactions leading to the formation of complexes.
(ii) Reactions with aqueous sodium hydroxide.
2. (a) Differentiate between order and molecularity of a reaction.
(b)The table below shows some data of a reaction
![]()
|
Experiment no. |
Concentration of (mol dm-3) |
Concentration of B(mol dm-3) |
Tate(mol dm-3 s-1) |
|
I |
1.00 x10-2 |
2.80 x 10-3 |
2.1 |
|
II |
5.00 x 10-3 |
2.80 x 10-3 |
1.1 |
|
III |
1.00 x 10-2 |
5.60 x 10-3 |
4.3 |
(i)Determine the order of the reaction with respect to A and B
(ii)Write the rate equation for the reaction.
(iii)Calculate the rate constant for the reaction and give its units
(iv)Calculate the rate of the reaction when the concentrations of A and B are 8.50 x 10-3 mol dm-3 and 3.83 x 10-3 mol dm-3 respectively.
(c) State what would happen to the order of the reaction in (b) if B was in large excess. Explain your answer.
(d) Draw a fully labeled energy diagram for the reaction in (b)
3. Discuss the reaction of
(a) amines with nitrous acid
(b) ethanol with sulphuric acid
(c) methyl benzene with chlorine
Your answer should include:
(i)Suitable examples for the reactions in (a)
(ii)Equations for the reactions in (b)
(iii) Mechanisms for the reactions in (c).
4. A solution containing 20g of a polymer X in 1 l of a solvent exerts an osmotic pressure of 1.4mm Hg at 250C.
(i)Explain what is meant by the term osmosis.
(ii)Calculate the molecular mass of X.
(iii)The molecular formula of the monometer of X is (CH2=CHCN)
Determine the number of monomer units in X.
(iv) Draw the general structural formula of X.
(v) Explain why the freezing point depression method is not suitable for determining the molecular mass of a polymer.
(b) (i) Describe how the molecular mass of a substance can be determined by the freezing point depression method.
(ii) Calculate the freezing point depression of the solvent in (a)
(The freezing point constant of the solvent is 50C per litre)
SECTION B
5. Potassium manganate (VII) is not used as a primary standard in volumetric analysis and has to be standardized.
(a) (i)What is meant by the term primary standard?
(ii)State three characteristics of primary standard
(iii) Explain why potassium manganate (VII) is not used as a primary standard.
(iv)Name one substance other than ethanedioc acid, which can be used as a primary standard for potassium manganate.
(b) Explain why hydrochloric acid is not usually used to acidify solutions of potassium manganate(VII).
(c) Acidified potassium manganate (VII) reacts with ethanedioc acid.
Write
(i)the half equation for the reaction
(ii)the overall equation for the reaction
(d) 20.00cm3 of a 0.01M manganate(VII) ion solution required exactly 16.65cm3 of a solution containing 4.8g l-1 of an oxalate(COO-X+)2.2H2O).
Calculate the atomic mass of X.
6. Write equation to show how each of the following compounds can be synthesized in each case indicate a mechanism for the reaction.
(i) (CH3)2C=CH2 from 2-bromo-2-methylpropane.
(ii)(CH3)2C=N-OH from propanone.
(b)Name the reagent(s) that can be used to differentiate between the compounds in each of the following pairs. In each case state what would be observed if each member of the pairs is treated with the reagent(s)

(c)When 400cm3 of a mixture of ethene and ethyne, measured at room temperature was bubbled into excess ammoniacal silver nitrate solution, 2.4g of a white precipitate was formed.
(i)Write an equation for the reaction which took place and name the white precipitate.
(ii) Calculate the percentage by volume of ethene in the mixture.
7. (a)State two factors which determine the magnitude of electrode potential of a metal.
(b)Draw a well labeled diagram to show how the standard electrode potential of zinc can be determined.
(c) The equation below shows the standard electrode potentials for some half reactions

(d)The ionic radii and the molar ionic conductivities, at infinite dilution at 180C of lithium and ceasium ions are given in the table below.
|
Li+ |
Cs+ |
|
|
Ionic radius(nm) |
0.06 |
0.17 |
|
Molar ionic conductivity(Ω-1cm2mol-1) |
33.5 |
68.0 |
Explain why the molar ionic conductivity of lithium ions is lower than that of ceasium ions.
(e)A current of 40.5 A was passed through molten lead(II)bromide for 4 hours and the bromine liberated reacted with 94.0g of hydroxybenzene.
Calculate the number of moles of
(i) bromine liberated.
(ii) hydroxybenzene that reacted
(f)Write an equation for the reaction that took place between bromine and hydroxybenzene in (e) and name the product.
8. Explain each of the following observations.
(a) Thee basics strengths of amino benzene, ammonia dimethylamine are in the order.

(b) Beryllium belongs to groupie in the periodic table and yet its chemistry and that of its compounds resembles that of aluminium
(c) Calcium phosphate is insoluble in water but dissolves in dilute hydrochloric acid
(d) Ethene reacts with bromine to form 1,2-dibromoethane.but when the reaction is carried out in the presence of sodium chloride solution.1-bromo-2-chloroethane is formed
