PAPER 1
Section A.
Answer all questions section.
1. A solution containing x g of cane sugar (RMM=342) in 105g of water at a pressure of 101.3 Pa boiled at 100.060C.Determine x
(Kb for water =0.520Cmol-1 per 1000g)
…………………………………………………………………………………………………………………………………………………………………………………………………….
2. Draw the molecular structures of the following species and name the shapes of the species you have drawn
Structure shape
(a)NO2
(b)PCl5
(c)ICl2
3. The two compounds A, CH3CH2CH2CH2Br and B, CH3CH2CHBrCH3 have the same functional group.
(a)Explain the term functional group
…………………………………………………………………………………………………………………………………………………………………………………………………….
(b)Write equations to show how A can be converted to B
…………………………………………………………………………………………………………………………………………………………………………………………………….
4. (a) (i) Name the three main types of radioactive emissions.
…………………………………………………………………………………………………………………………………………………………………………………………………….
(ii)State two properties of radioactive emissions
…………………………………………………………………………………………………………………………………………………………………………………………………….
(b) Copper has relative atomic mass of 63.55 and consists of two isotopes of mass numbers 63 and 65.calculate the percentage composition of the isotopes
…………………………………………………………………………………………………………………………………………………………………………………………………….
5. (a)Some bond energies are given in the table below.
|
Bond |
Energy(kj mol-1) |
|
C-C |
-337 |
|
C-H |
-414 |
|
C-O |
-360 |
|
O-H |
-123 |
Calculate the heat of formation of gaseous ethanol
…………………………………………………………………………………………………………………………………………………………………………………………………….
(b) Carbon monoxide burns in oxygen according to the following equation.
2CO (g) + O2(g) 2CO2(g)
Calculate the enthalpy of combustion of carbon monoxide
(heat of formation of carbon monoxide and carbon dioxide are -108 kjmol-1 and -393 kj mol-1 respectively)
…………………………………………………………………………………………………………………………………………………………………………………………………….
6 (a) The first successive ionization energies of elements X and Y are given in table below
|
Element |
Ionisation Energies(kj mol-1) First Second Third Fourth Fifth |
|
X |
1310 3390 5320 7460 11000 |
|
Y |
1410 2860 4710 7470 9450 |
(i)State the group in the periodic table which each of the elements belongs to
…………………………………………………………………………………………………………………………………………………………………………………………………….
(ii)Explain your answer in (i)
…………………………………………………………………………………………………………………………………………………………………………………………………….
(b)Elements A and B both have high ionization energies and high electron affinities. State the type of bond that exists in the compound formed by A and B
…………………………………………………………………………………………………………………………………………………………………………………………………….
7. Write the structural formula and name the product of each of the following reactions.

8. (a)What is meant by the term buffer solution.
…………………………………………………………………………………………………………………………………………………………………………………………………….
(b)Calculate the mass of sodium ethanoate that should be added to 1dm-3 of a 0.1M ethanoic acid in order to give a solution whose pH is 4.state any assumption made.
(Ka ethanoic acid =1.8x105 mol dm-3)
…………………………………………………………………………………………………………………………………………………………………………………………………….
9. Benzene reacts with chlorine under two different conditions to give different products. State two conditions and write equation for reaction between benzene and chlorine under each condition.
Condition…………………………………………………………………………………………………………………………………………………………………………………………………….
equation…………………………………………………………………………………………………………………………………………………………………………………………………….
condition…………………………………………………………………………………………………………………………………………………………………………………………………….
equation…………………………………………………………………………………………………………………………………………………………………………………………………….
SECTION B
Answer six questions from this part
10.(a)In industrial production of sulphuric acid by the contact process sulphur dioxide is oxidized to sulphur trioxide in the presence of a catalyst according to the following equation.
![]()
(i)Name the catalyst used in the process
…………………………………………………………………………………………………………………………………………………………………………………………………….
(ii)Explain why the reaction is carried out at 5000C
…………………………………………………………………………………………………………………………………………………………………………………………………….
(iii)Sulphuric acid is used in the manufacture of super phosphate fertilizer.
Write equation for the reaction
…………………………………………………………………………………………………………………………………………………………………………………………………….
(iv)Give one other large scale use of sulphuric acid
…………………………………………………………………………………………………………………………………………………………………………………………………….
(b)Concentrated sulphuric acid contains 98% of the acid. Calculate the mass of the concentrated acid required to make a 2.0M solution of sulphuric acid
…………………………………………………………………………………………………………………………………………………………………………………………………….
(c)Name one reagent that can be used to identify the anion in sulphuric acid
…………………………………………………………………………………………………………………………………………………………………………………………………….
11. Iron (III) hydroxide and phenylamine react with water according to the following equation.

(a)Write expressions for the solubility product, KS. For iron(III)hydroxide and the base dissociation constant
for phenylamine. In each case state the assumption tou have made
Expression for Ks
…………………………………………………………………………………………………………………………………………………………………………………………………….
Assumption
…………………………………………………………………………………………………………………………………………………………………………………………………….
Expression for Kb
…………………………………………………………………………………………………………………………………………………………………………………………………….
Assumption
…………………………………………………………………………………………………………………………………………………………………………………………………….
(b)The equation for the reaction between phenylamine and iron(III) ions is given below

(i)Write an expression for the equilibrium constant for the reaction
…………………………………………………………………………………………………………………………………………………………………………………………………….
(ii)Express the equilibrium constant in terms of Ks and Kb
…………………………………………………………………………………………………………………………………………………………………………………………………….
(iii)Calculate the value of the equilibrium constant
…………………………………………………………………………………………………………………………………………………………………………………………………….
12. (a) 2-bromo-2-methylpropane reacts with aqueous sodium hydroxide to form an organic compound Y.
(i) Write equation and suggest a mechanism for the reaction
…………………………………………………………………………………………………………………………………………………………………………………………………….
(ii) Name one reagent that can be used to identify the functional group in Y
…………………………………………………………………………………………………………………………………………………………………………………………………….
(b) Sodium metal was dissolved in excess ethanol. Write equation for the reaction
…………………………………………………………………………………………………………………………………………………………………………………………………….
(c) 2-bromo-2methylpropane was added to a solution in (b) and the mixture was warmed. Write equation and indicate a mechanism for the reaction that took place
…………………………………………………………………………………………………………………………………………………………………………………………………….
13.(a)The curves P,Q,R and S below show changes in pH during acid base titration.
Which one of the curves corresponds to titration of
A weak acid with a weak base?
…………………………………………………………………………………………………………………………………………………………………………………………………….
A strong acid with a weak base?
…………………………………………………………………………………………………………………………………………………………………………………………………….
A strong acid with a strong base?
…………………………………………………………………………………………………………………………………………………………………………………………………….
A weak acid with a strong base?
…………………………………………………………………………………………………………………………………………………………………………………………………….
(ii) Cresol, methyl red, bromothymol blue and phenolphthalein indicators change color at the pH values of 1.0, 5.3, 6.8, and 9.2 respectively.
Suggest the most suitable indicator that can be used in the titration of the acid and the base used to obtain curve P. Give a reason for your answer.
…………………………………………………………………………………………………………………………………………………………………………………………………….
(b) 48.00cm3 of a solution containing 7.00g per litre of potassium hydroxide required 25.00cm3 of 0.12M phosphoric acid for complete neutralization.
(i)Calculate the molar ratio in which phosphoric acid reacts with potassium hydroxide
…………………………………………………………………………………………………………………………………………………………………………………………………….
(ii)Write equation for the reaction
…………………………………………………………………………………………………………………………………………………………………………………………………….
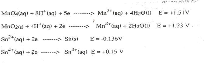
14. Some half reactions and their corresponding reduction potentials are given below.

(a) (i) State what would be observed when excess tin powder is added to acidified solution of potassium manganate (VII).Explain your answer
…………………………………………………………………………………………………………………………………………………………………………………………………….
(ii)Write equation for the reaction that takes place in (i)
…………………………………………………………………………………………………………………………………………………………………………………………………….
(b)Solid manganese (IV) oxide was added to acidified solution containing tin(II) ions
(i)State what was observed and explain your answer
…………………………………………………………………………………………………………………………………………………………………………………………………….
(ii) Write equation for reaction
…………………………………………………………………………………………………………………………………………………………………………………………………….
15. Name one reagent that can be used to distinguish between each of the following pairs of compounds. In each case state what would be observed if the compounds are treated with the reagent you have named.
![]()
…………………………………………………………………………………………………………………………………………………………………………………………………….
(b)CH3C=CCH3 and CH3CH2C = CH
…………………………………………………………………………………………………………………………………………………………………………………………………….

…………………………………………………………………………………………………………………………………………………………………………………………………….
16.(a)State three properties which are exhibited by chromium but not by calcium.
…………………………………………………………………………………………………………………………………………………………………………………………………….
(b)Aqueous iron (II) solution was added to a solution containing chromium in oxidation state +6
(i)State what was observed
…………………………………………………………………………………………………………………………………………………………………………………………………….
(ii)Write half equations and the overall equation for the reactions that took place
…………………………………………………………………………………………………………………………………………………………………………………………………….
(c)State one application of chromium in oxidation state+6 in organic synthesis and write equation to illustrate your answer
…………………………………………………………………………………………………………………………………………………………………………………………………….
17. When 0.29g of a substance X was burnt in oxygen 0.66gof carbon dioxide and 0.27g of water were formed.
(a) (i) Calculate the masses of carbon, hydrogen and oxygen in X
…………………………………………………………………………………………………………………………………………………………………………………………………….
(ii)Determine the empirical formula of X
…………………………………………………………………………………………………………………………………………………………………………………………………….
(b)X forms a yellow precipitate with 2,4-dinitrophenylhydrazine and a grey precipitate with ammoniacal silver nitrate solution. The vapor density of X is 29.write the name and structural formula of X
…………………………………………………………………………………………………………………………………………………………………………………………………….

PAPER 2
Answer five questions including three questions from section A and any two from section B
SECTION A
1. (a) (i) Explain the term lattice energy, hydration energy and enthalpy of a solution.
(ii) Using potassium iodide draw an energy diagram to show how the energy terms (i) are related.
(iii) The enthalpy of solution and lattice energy of potassium iodide is +21 kj mol-1 respectively. Calculate the hydration energy for potassium iodide.
(b)With the aid of a diagram describe an experiment that can be carried out to determine the enthalpy of ammonium chloride. Write an expression to show how enthalpy of solution of ammonium chloride can be calculated from the results of the experiment.
2. (a) A compound X has a molecular formula C3H8O.
Write the structural formulae of all possible isomers of X.
(b)X reacted with iodine and aqueous sodium hydroxide to form a yellow precipitate
(i)Identify X
(ii) Write equation for the reaction between X and iodine in the presence of aqueous sodium hydroxide.
(iii)State what would be observed if X is reacted with acidified chromium(VI)oxide .Write equation for the reaction and name the main organic product.
(c)When X was heated with excess concentrated sulphuric acid, a gas Y which decolorized bromine water was evolved. Write equation for the reaction between
(i)X and sulphuric acid and suggest a mechanism for the reaction.
(ii)Y and bromine water and name the product.
(d) Y was used in the manufacture of hydroxybenzene. Write equation and indicate the conditions for the reaction
3. (a) (i) State faraday`s law of electrolysis.
(ii) A current of 2A was passed for 30 minutes through a cell containing dilute sulphuric and the hydrogen produced at the cathode collected. Calculate the volume of hydrogen in cm3 that was produced at 230C and 199kPa.
(b)

Graphs PQR and XYZ show variations of conductivities of solutions formed when equal volumes of 0.1M hydrochloric acid and 0.1M ethanoic acid respectively titrated with 1M sodium hydroxide solution
Account for the difference in the shapes of the graphs.
4. The elements beryllium, magnesium and barium belong to group II in the periodic table.
(a) (i) State three chemical properties shown by the elements for each property write equation to illustrate your answer.
(ii)Explain the trend in the solubilities of hydroxides of the elements in the group.
(b)Beryllium differs in some of its properties from the rest of the elements in the group
(i) State two property in which beryllium differs from the rest of the members of the group.
(ii) Give reasons why beryllium differs from the rest of the members of the group.
(c) (i) Name one reagent that can be used to distinguish between magnesium ions and barium ions.
(ii)State what would be observed in each case when the reagent in (i) was used.
(iii)Write equation(s) for the reaction(s) that take(s) place in (ii).
(d)An aqueous solution of magnesium chloride has a pH less than 7. Explain
SECTION B
ANSWER TWO QUESTIONS FROM THIS SECTION.
5. (a)Propanone reacts with iodine in the presence of an acid catalyst according to the equation

The concentration is first order with respect to propanone and independent of the concentration of iodine.
(i)Explain the term order of reaction.
(ii)Write the expression for the rate law for the reaction.
(iii)Describe briefly how the order of the reaction with respect to iodine can be determined.
(b)The following kinetic data were obtained for the reaction between hydrogen peroxide, iodide ions and hydrogen ions.
Concentration (mol dm-3) rate of reaction
|
H2O2(aq) |
I-(aq) |
H+(aq) |
(mols-1) |
|
0.010 |
0.010 |
0.10 |
1.75x10-6 |
|
0.030 |
0.010 |
0.10 |
5.25x10-6 |
|
0.030 |
0.020 |
0.10 |
1.05x10-5 |
|
0.030 |
0.020 |
0.20 |
1.05x10-5 |
(i) Determine the order of the reaction with respect to hydrogen peroxide: hydrogen ions and iodide ions. In each case give a reason for your answer.
(ii) Write the rate equation for the reaction.
(iii) Calculate the rate constant for the reaction and indicate its units.
6. (a) Sodium hydroxide is one of the raw materials used in the manufacture of soap.
(i) Outline a process by which sodium hydroxide is manufactured.
(ii) Name one other raw material used in the manufacture of soap.
(iii) Describe a process by which soap is produced from sodium hydroxide and the material you have named in (ii) above.
(iv) Write equation for reaction leading to the formation of soap.
(b) Explain the difference between the terms soap and soap less detergent.
Your answer should include the advantages and disadvantages of using soap and soapless detergents in washing.
7. (a) The table below shows the solubilities of salt A and salt B at different temperatures.
|
Temperature(0C) |
|
0 |
10 |
20 |
30 |
40 |
50 |
60 |
|
Solubility(g per 100g of water |
Salt A |
13 |
20 |
32 |
45 |
63 |
85 |
110 |
|
|
Salt B |
32.5 |
34 |
35 |
36 |
37 |
38 |
39 |
(i)Plot a graph of solubility against temperature for salt A and salt B using same axes.
(ii)A saturated solution of salt A was cooled from 450C to 250C.Determine the mass of the salt deposited.
(b)Explain how a pure sample of salt A can be obtained from a mixture containing salts A and B. Name one method that can be used to test for the purity of the separated sample.
(c) 25.0cm3 of a solution containing a mixture of sodium carbonate and sodium hydrogen carbonate required 15.00cm3 of the acid for complete reaction using phenolthalein indicator.25.0cm3 of the solution of the mixture required 34.50cm3 of the acid using methyl orange indicator. Calculate the mass sodium carbonate and sodium hydrogen carbonate in the solution in grams per litre.
8. (a) Complete the following equations and write a mechanism for the reaction in each case

(b)Write equations to show how each of the following compounds can be prepared.
In each case indicate the conditions for the reaction

(c) Complete each of the following equations. State one use of the product in each case

