1.a) Given that the complex number Z and its conjugate
satisfy the equation
, find the possible values of Z.
b) Prove that if
is real, then the locus of the point representing the complex number Z is a straight line.
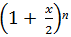
2. The coefficients of the first three terms of the expansion of
are in an Arithmetic Progression (AP). Find the value of n.
3. Solve the equation 3 tan2θ + 2sec2θ = 2 (5-3 tanθ )for 00 ≤ θ ≤ 1800.
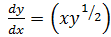
4. Differentiate
with respect of x.
5. Solve for x in the equation 42x – 4 x+1 + 4 = 0.
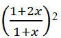
6. Show that

7. The equation of a curve is given by y2- 6y+ 20x + 49 = 0.
- Show the curve is a parabola.
- Find the coordinates of the vertex.
8. A container is in the form of an inverted right circular cone. Its height is 100cm and base radius is 40cm. The container is full of water and has a small hole at its vertex. Water is flowing through the hole at a rate of 10cm3 S-1. Find the rate at which the water level in the container is falling when the height of water in the container is halved.
9. The vertices of a triangle are P(4, 3), Q (6, 4) and R(5, 8). Find angle RPQ using vectors.
10. A circle whose centre is in the first quadrant touches the x and y axes and the line 8x – 15y = 120.
- equation of the circle.
- point at which the circle touches the x- axis.
11. A curve whose equation is x2 y+ y2- 3x=3 passes through points A(1, 2) and B(-1, 0). The tangent at A and the normal to the curve at B intersect at point C. Determine the:
- equation of the tangent.
- coordinates of C
12. a) Express cos(θ+300 ) - cos( θ+480) in the form Rsin Psin Q, where R is a constant. Hence solve the equation.
cos(θ+300 ) - cos( θ+480)=0.2
b) Prove that in any triangle ABC;

13. a) Solve for x and y in the following simultaneous equations.
(x – 4y)2 = 1
3x + 8y = 11
b) Find the set of values of x for which 4x2 +2x < - 3x +6
14. a) The points A and B have position vectors a and b. A point C with a position vector c lies on AB such that

Show that C =(1-λ ) a+ λ b.
b) The vector equations of two lines are
r1=2i+j+λ(i+j+2k) and
r2=2i+2j+t k+μ(i+2j+k)
where i, j and k are unit vectors and λ, μ and t are constatnts.
Given that the two lines intersect, find
- the value of t
- the coordinates of the point of intersection.
15. a) Sketch the curve y = x3 - 8.
b) The area enclosed by the curve in (a), the y- axis and the x-axis is rotated about the line y = 0 through 3600. Determine the volume of the solid generated.
16. a) Solve the differential equation
ln x, given that y = 1 when x =1.
Hence find the value of y when x = 4.
