1. Express the function = x2 + 12x + 32, in the form a(x+b)2+ c. Hence find the minimum value of the function f(x).
2. A point P moves such that its distances from two points A(-2, 0) and B(8,6) are in the ratio AP : PB =3:2. Show that the locus of P is a circle.
3. Determine the equation of the tangent to the curve y3 + y2 – x4 = 1 at the point (1,1).
4. Show that 2log4 +½ log25 –log 20 = 2log2
5.In triangle ABC, a = 7cm, b= 4cm and c = 5cm. Find the value of:
a) cos A
b) sin A
6. Determine the angle between the line
and the plane
4x + 3y- 3z +1 = 0
7. Find ∫x2 ex dx
8. The region bounded by the curve y = x2 -2x and the x- axis from x = 0 to x= 2, is rotated about the x – axis. Calculate the volume of the solid formed.
9. The position vectors of the vertices of a triangle are o, r and s, where O is the origin. Show that its area (A) is given by
Hence, find the area of a triangle when 
10. Express 5 + 12 I in polar form. Hence, evaluate
, giving your answers in the form a + ib where a and b are corrected to two decimal places.
11. a) Differentiate
with respect to x.
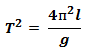
b) The period, T of a swing of a simple pendulum of length, l is given by the equation

where g is the acceleration due to gravity. An error of 2 % is made in measuring the length, l. Determine the resulting percentage error in the period, T.
12. a) Show that
, where t = tan θ.
b) Solve the equation
sin x + sin 5x = sin 2x + sin 4x for 00 < x < 900
13. a) The first three terms of a Geometric Progression (G.P) are 4,8 and 16. Determine the sum of the first ten terms of the G.P
b) An arithmetic Progression (A.P) has a common difference of 3.A Geometric Progression (G.P) has a common ratio of 2. A sequence is formed by subtracting the terms of the A.P from the corresponding terms of the G.P. The third term of the sequence is 4. The sixth term of the sequence is 79. Find the first term of the
i) A.P
ii) G.P
14. Evaluate:

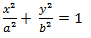
15. The line y= mx + c is a tangent to the eclipse

a) Obtain an expression for c in terms of a, b, and m
b) Calculate the gradients of the tangents to the ellipse through the

16. The rate at which the temperature of a body falls is proportional to the difference between the temperature of the body and that of its surrounding. The temperature of the body is initially 600C. After 15minutes the temperature of the body is 500C. The temperature of the surrounding is 100C.
a) Form a differential equation for the temperature of the body.
b) Determine the time it takes for the temperature of the body to reach 300C.
