1. Given the plane 4x + 3y – 3z- 4 =0;
a) show that the point A (1,1,1) lies on the plane.
b) find the perpendicular distance from the plane to the point B (1,5,1)
2. Given that
, find E when P = 600
3. Find the area enclosed between the curve y =2x2 - 4x and the xx-axis
4. Solve 2cos2θ – 5cosθ = 4 for 00 ≤ θ ≤ 3600
5. Given that
form a quadratic equation whise roots are
6. Find the equation of the tangent to the curve

7. Find the area enclosed between the curve y = 2x2 – 4x and the x-axis
8. Show that the modulus of

9. a) Determine the perpendicular distance of the point (4,6) from the line 2x + 4y – 3 = 0
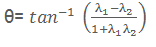
b) Show that the angle θ, between two lines with gradients λ1 and λ2 is given by

Hence find the acute angle between the lines
10. a) Given that

b) Solve the simultaneous equations:
2x = 3y = 4z,
x2- 9y2 – 4z + 8 = 0
11. Express 7 cos 2θ + 6 sin 2θ in the form Rcos(2 θ – α), where R is a constant and α is an acute angle.
Hence solve 7 cos 2θ + 6 sin 2θ = 5 for 00≤ θ≤1800
12. a) Given that

b) Evaluate

13. Four points have coordinates A (3,4,7), B (13, 9, 2) , C(1,2,3) and D(10,k,6), The lines AB and CD intersect at P.Determine the;
a) vector equations of lines AB and CD
b) value of k
c) coordinates of P
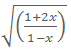
14. Expand

up to the term in x2
Hence find the value of
to four significant figures
15. a) Differentiate y = 2x2 + 3 from the first principles.
b) A rectangular sheet is 50cm long and 40cm wide. A square of x cm of x cm is cut off from each corner. The remaining sheet is folded to form an open box. Find the maximum volume of the box
16. a) Find 
b. ) Solve the differential equation

