1.a) What is meant by the following as applied to light waves:
i) Diffraction
ii) Polarization
b) A diffraction grating of spacing d, is illuminated normally with light of wavelength λ.
i) Derive the condition for occurance of diffraction maxima
ii) Describe briefly the intensity distribution on a screen placed beyond the grating.
iii) What is the effect on the diffraction pattern when a grating with a larger number of lines is used?
c) Light of wavelength 5.8 × 10-7 m is incident on a diffraction grating of 500 lines per mm. Find the:
i) diffraction angle for the 2nd order image
ii) maximum number of images formed
d) i) Describe how polarized light can be produced by reflection
ii) List any four uses of polarized light
2. a) i) Define the following as applied to wave motion:
- Amplitude
- Frequency
- Wavelength
ii) Derive the relationship between velocity, wavelength and frequency of a wave.
b) The displacement y, of a progressive wave is given as

where x is the horizontal distance in meters and t is the time in seconds.
Determine the:
i) velocity of the wave
ii) maximum velocity of the particles of the medium.
c) i) What is meant by Doppler effect?
ii) A source of sound moving with velocity u, approaches an observer moving with velocity u0 in the same direction. Derive the expression for the frequency of sound heard by the observer.
d) Two whistles are sounded simultaneously. The wave length of the sounds emitted are 5.5m and 6.0m respectively. Find the beat frequency if the speed of sound in air is 330ms-1.
3.a) State the laws of refraction of light?
b) Derive an expression for the refractive index of a prism in terms of the refracting angle A, and the angle of minimum deviation D
c) A ray of light is refracted through a prism in a plane perpendicular to its edge. The angle of incidence is 300 and the refractive index of the prism is 1.50. Calculate the angle of the prism such that the ray does not emerge when it strikes the second face.
d) i) Describe with the aid of a labeled diagram, the structure and operation of a projection lantern.
ii) A projector produces an image of area 2 m2 on a screen placed 5m from the projection lens. If the area of the object slide is 8 cm2, calculate the focal length of the projection lens.
4. a) Define the following as applied to a telescope:
i) Eye – ring
ii) Magnifying power
b) What is the significance of the eye-ring of an astronomical telescope?
c) State two advantages of a reflecting telescope over a refracting telescope.
d) Figure 1 shows an optical system consisting of two thin converging lenses arranged coaxially. Lens A has a focal length of 40mm and lens B has a focal length of 375mm. An object O of height 5 mm is placed 50 mm from A. I1 is the real image of O in A and I2 is the virtual image if I1 in B and is 250mm from B
i) Determine the value of distance y of image I1 from lens A
ii) Calculate the distance, x between the images I1 and I2
iii) Find the linear magnification produced by the lens system.
e) Name one defect of images formed by a lens and explain how the defect is minimized in practice.
f) Explain the following;
i) total internal reflection
ii) formation of mirages
5. a) With the aid of a sketch graph, explain the hysteresis curve for ferromagnetic materials.
b) i) Describe with the aid of a labeled diagram, the structure and the mode of action of a moving coil galvanometer.
ii) Explain why eddy currents are useful in a moving coil galvanometer.
c) A conducting disc of radius 0.05m with its plane perpendicular to a uniform magnetic field of flux density 0.25T, rotates at 15 revolutions per second about an axis through its centre and perpendicular its plane.
Calculate the:
i) magnetic flux threading the disc at any time
ii) e.m.f generated between the centre of the disc and any point on its rim.
6. a) State Faraday’s law of electromagnetic induction.
b) With the aid of a diagram describe an experiment to illustrate Lenz’s law of electromagnetic induction.
c) Define magnetic moment of a coil.
d) A small circular coil of 20 turns of wire lies in a uniform magnetic field of flux density 5.0 × 10-2 T. The normal to the coil makes an angle of 300 with direction of the magnetic field. If the radius of the coil is 4cm and the coil carries a current of 2.0A, find the:
i) magnetic moment of the coil.
ii) torque on the coil
e) i) State and define the unit of magnetic flux density.
ii) Show that when the magnetic flux linking a coil changes, the total charge which passes through it depends only on the resistance of the coil and the total flux linking it.
f) State any two factors which determine the efficiency of a transformer.
7. a) i) What is meant by capacitive reactance?
ii) Define peak value of an alternating voltage.
iii) Show that the r.m.s value of an alternating voltage is

where V0 is the peak voltage.
b) Distinguish between mutual and self induction.
c) i) Describe with the aid of a diagram, the structure and working of the a.c transformer.
ii) Explain the steps taken to minimize power losses in electric power transmission.
d) In figure 2, P is a 6V lamp and Q is a coil of negligible resistance
i) Explain which of the lamps in figure 2 will be brighter when K is closed.
ii) Explain what happens when a soft iron core is introduced in the coil in each of the circuits
8. a) Define the following as applied to a battery:
i) Electromotive force
ii) Internal resistance
b) A battery of e.m.f E and internal resistance r, is connected across a load of resistance, R. Derive an expression for the maximum power delivered to the load.
c) Describe how the resistance of a resistor may be determined using a slide wire potentiometer.
d) Explain why the potentiometer is more suitable for measuring small resistance than the Wheatstone bridge.
e) In figure 3, AB is a uniform resistance wire of resistance 2.0Ω, and length 100cm. E is a cell of e.m.f 1.5V and D is a driver cell of negligible internal resistance. When switch K is closed the balance length AC is 82.5cm.
i) Find the e.m.f of cell D
ii) If cell E and the galvanometer are replaced by a voltmeter of resistance 20.0Ω, find the reading of the voltmeter when contact C is placed at the midpoint of AB and the value of R is 1.0Ω.
9. a) i) Define electric field intensity and potential difference.
ii) Derive an expression for the electric potential difference between two points a and b in the field of a single point charge +Q.
b) Describe an experiment to show that when two dissimilar dielectrics are rubbed together, they acquire equal but opposite charges.
c) Two point charges of +5μC and -3μC are placed at points A and B as shown in figure 4.
Calculate the:
i) electric potential at P
ii) work done in moving a charge of -3μC from P to Q
d) State any two characteristics of an equipotetntial.
10. a) Define the following:
i) Capacitance
ii) Relative permittivity
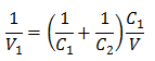
b) Two capacitors of capacitances C1 and C2 are connected in series with a battery of e.m.f V as shown in figure 5.
If the p.d across the capacitor of capacitance C1 is V1 show that
c) Describe an experiment to determine the capacitance of a capacitor using a vibrating reed circuit.
d) A battery e.m.f 120V is connected to a network of capacitors as shown in figure 6
Calculate the:
i) charge on C1
ii) energy stored in C5
e) Describe how the effect of a dielectric medium on the capacitance of a capacitor may be determined.
