1. In this experiment, you will determine the property, β, of the glass block provided.
a) Fix a plain sheet of white paper on a soft board using drawing pins
b) Place the glass block centrally on the sheet of paper with its largest face uppermost.
c) Trace the outline of the glass block ABCD, as shown in figure 3
d) Remove the glass bock
e) Extend DA to a point F about 7cm from A
f) Draw a normal, MN at E, a distance about ¼ AB
g) Draw a line OE at angle i= 150 to the normal MN
h) Replace the glass block on its outline
i) Fix pins P1 and P2 vertically along line OE
j) While looking through the glass block from side DC, fix pins P3 and P4 such that they appear to be in line with the images of P1 and P2
k) Remove the glass block and the pins
l) Draw a line through P3 and P4 to meet DC at Q and produce PQ to meet DF at R
m) Join Q to E
n) Measure and record the distances x and l and angle α
o) Replace the glass block and repeat procedure (g) to (n) for values of I = 250, 350, 450, 550 and 650.
p) Tabulate your results including values of sin2 α and
r) Determine the slope, S, of the graph
s) Calculate the value of β1, from the expression

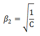
t) Read and record the intercept, C, on the sin2α –axis
u) Calculate the value of β2, from the expression

v) Find the value of the constant, β, from the expression;
2 β = (β1 + β2)
2. In this experiment, you will determine a property, γ of half – meter rule provided by two methods.
METHOD I
a) Balance the half-meter rule provided horizontally on a knife edge.
b) Read and record the balance point g
c) Suspend the half –meter rule from the retort stand clamp with its scale facing upwards using a piece of thread.
d) Suspend a mass m1 = 0.050kg from the 2.0cm mark of the half-meter rule.
e) Suspend a mass m2 =0.020kg from the opposite side of the thread of suspension at the 35.0cm mark of the half – meter rule as shown in figure 1.
f) Adjust the position of the thread of suspension of the half meter rule until it balances horizontally.
g) Measure and record the distances a ,b and c
h) Leave the set-up undisturbed
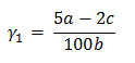
i) Calculate the value of , γ1 from the expression;
f) Adjust the position of the thread of suspension of the half-meter rule until it balances horizontally.
g) Measure and record the distances a, b and c
h) Leave the set-up undisturbed.
i) Calculate the value of,γ1 from the expression;
METHOD II
a) Attach a pointer to one end of the spiral spring using masking tape.
b) Remove the masses m1 and m2 from the half-meter rule in the set-up you used in method I.
c) Suspend the spring from 2.0cm mark of the half-meter rule using a piece of thread.
d) Adjust the position of the thread of suspension of the half – meter rule until it balances as shown in figure 2
e) Clamp the second half – meter rule vertically and move it near the pointer.
f) Read and record in meters the initial pointer position P0
g) Suspend a mass m= 0.050kg from the lower end of the spring and adjust the position of the thread of suspension of the half-meter rule until it balances horizontally.
h) Read and record in meters the new pointer position, P1
i) Read and record the distances x and y
j) Calculate the extension, e, of the spring meters
k) Repeat the procedure (g) to (j) for values of m= 0.100, 0.150. 0.200, 0.250 and 0.300kg
l) Record your results in a suitable table including values of 
m) Plot a graph of e against 
n) Find the slope, S, of the graph.
o) Calculate the value of k from the expression;

k = where e1 is the value of the extension, e corresponding to mass m= 0.300kg in your table of results and g = 9.81 ms-2
p) Calculate the value of, γ2 from the expression;

where g= 9.81ms-2
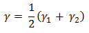
q) Calculate the value of γ from the expression

3. In this experiment, you will determine a constant, α of the wire labeled, W
a) Connect the circuit shown in figure 4 such that length, l , of the bare wire W = 0.100m. Make sure that that the length of wire Z connected is 0.500m.
b) Close switch, K
c) Read and record the ammeter reading I1 and the voltmeter reading V1
d) Repeat procedure (a) and (b) for l =0.500m
e) Read and record the ammeter reading I2 and voltmeter reading V2
f) Repeat procedure (a) to (b) for l =0.700m
g) Read and record the ammeter reading l 3 and voltmeter reading V3
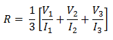
h) Find the resistance, R, of Z from the expression,

DISMANTLE THE APPARATUS
PART II
a) Measure and record, in meters, the diameter, d, of the wire labeled W
b) Connect the circuit as shown in figure 5. Make sure that the length of Z connected is 0.500m
c) Starting with a length x = 0.200m of wire, W, close switch K
d) Move the sliding contact along the bridge wire to a point D where the galvanometer shows no deflection.
e) Read and record the balance length, l1 and l2
f) Open switch K.
g) Repeat procedure (c) to (f) for values of x = 0.300, 0.400, 0.500, 0.600 and 0.700m
h) Record your results in a suitable table including values of and
i) Plot a graph of Rx against x
j) Find the slope, S, of the graph.
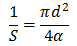
k) Calculate the constant, α, from the expression
DISMANTLE THE APPARATUS
PART II
a) Measure and record, in meters, the diameter, d, of the wire labeled W
image
b) Connect the circuit as shown in figure 5. Make sure that the length of Z connected is 0.500m
c) Starting with a length x = 0.200m of wire, W, close switch K
d) Move the sliding contact along the bridge wire to a point D where the galvanometer shows no deflection.
e) Read and record the balance length, l1 and l2
f) Open switch K.
g) Repeat procedure (c) to (f) for values of x = 0.300, 0.400, 0.500, 0.600 and 0.700m
h) Record your results in a suitable table including values of

i) Plot a graph of Rx against x
j) Find the slope, S, of the graph.
k) Calculate the constant, α, from the expression

DISMANTLE THE APPARATUS
